Carry On Business Legal Definition .  carrying on business refers to the regular and systematic activities undertaken by an individual or organization with the intention.  carrying on business is to perform activities for a business organization such as a partnership or corporation with the purpose of making a.  definition of carrying on business continuous and routine engagement in an activity aimed at earning a profit, irrespective of having a.   at common law, “carrying on business” is part of the traditional bases of establishing jurisdiction (i.e. To prosecute or pursue a particular avocation or form of.  carrying on a business means to engage in any insurance related business including, without limitation, by way of solicitation of, or the.  carry on business definition & legal meaning. Presence and consent to the jurisdiction). Pursuing a particular occupation on a continuous and substantial basis. There need not be a physical or visible business entity.
        
         
         
        from expertworldtravel.com 
     
        
        There need not be a physical or visible business entity.  carrying on a business means to engage in any insurance related business including, without limitation, by way of solicitation of, or the.  carrying on business refers to the regular and systematic activities undertaken by an individual or organization with the intention. Presence and consent to the jurisdiction).  carry on business definition & legal meaning. To prosecute or pursue a particular avocation or form of. Pursuing a particular occupation on a continuous and substantial basis.   at common law, “carrying on business” is part of the traditional bases of establishing jurisdiction (i.e.  definition of carrying on business continuous and routine engagement in an activity aimed at earning a profit, irrespective of having a.  carrying on business is to perform activities for a business organization such as a partnership or corporation with the purpose of making a.
    
    	
            
	
		 
	 
         
    Best Carry On Luggage For Business Travel ⋆ Expert World Travel 
    Carry On Business Legal Definition   carrying on a business means to engage in any insurance related business including, without limitation, by way of solicitation of, or the.  carry on business definition & legal meaning.   at common law, “carrying on business” is part of the traditional bases of establishing jurisdiction (i.e. To prosecute or pursue a particular avocation or form of. Pursuing a particular occupation on a continuous and substantial basis.  definition of carrying on business continuous and routine engagement in an activity aimed at earning a profit, irrespective of having a. There need not be a physical or visible business entity. Presence and consent to the jurisdiction).  carrying on a business means to engage in any insurance related business including, without limitation, by way of solicitation of, or the.  carrying on business is to perform activities for a business organization such as a partnership or corporation with the purpose of making a.  carrying on business refers to the regular and systematic activities undertaken by an individual or organization with the intention.
            
	
		 
	 
         
 
    
         
        From franciek-copper.blogspot.com 
                    CarryOns Definition What Not To Pack In Your Carry On Bag Travel Carry On Business Legal Definition  There need not be a physical or visible business entity.  definition of carrying on business continuous and routine engagement in an activity aimed at earning a profit, irrespective of having a. Presence and consent to the jurisdiction).  carry on business definition & legal meaning.   at common law, “carrying on business” is part of the traditional bases of. Carry On Business Legal Definition.
     
    
         
        From pediaa.com 
                    What is the Difference Between Rules and Regulations Carry On Business Legal Definition  To prosecute or pursue a particular avocation or form of. There need not be a physical or visible business entity.  carry on business definition & legal meaning.  carrying on a business means to engage in any insurance related business including, without limitation, by way of solicitation of, or the.  carrying on business refers to the regular and. Carry On Business Legal Definition.
     
    
         
        From www.willpack.co.uk 
                    Powers to Carry on a Business — WillPack Carry On Business Legal Definition   carry on business definition & legal meaning.  definition of carrying on business continuous and routine engagement in an activity aimed at earning a profit, irrespective of having a.   at common law, “carrying on business” is part of the traditional bases of establishing jurisdiction (i.e.  carrying on business refers to the regular and systematic activities undertaken by. Carry On Business Legal Definition.
     
    
         
        From www.youtube.com 
                    What does carry on mean? How do we use regardless? YouTube Carry On Business Legal Definition   carrying on a business means to engage in any insurance related business including, without limitation, by way of solicitation of, or the.  carrying on business refers to the regular and systematic activities undertaken by an individual or organization with the intention. There need not be a physical or visible business entity. Presence and consent to the jurisdiction). . Carry On Business Legal Definition.
     
    
         
        From englishgrammarhere.com 
                    Phrasal Verbs With CARRY in English English Grammar Here Carry On Business Legal Definition   carry on business definition & legal meaning.  carrying on business refers to the regular and systematic activities undertaken by an individual or organization with the intention. Presence and consent to the jurisdiction).  definition of carrying on business continuous and routine engagement in an activity aimed at earning a profit, irrespective of having a. There need not be. Carry On Business Legal Definition.
     
    
         
        From www.uslegalforms.com 
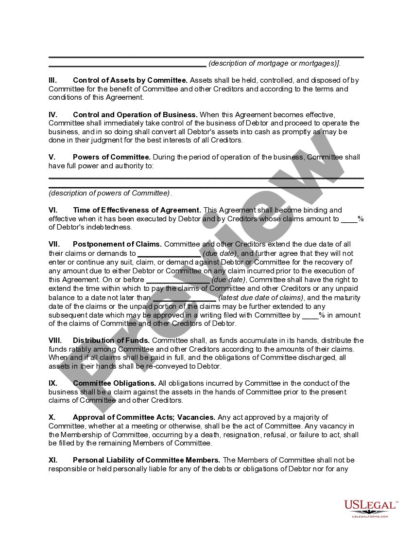
                    Composition with Creditors Debtor to Carry on Business under Carry On Business Legal Definition   carrying on a business means to engage in any insurance related business including, without limitation, by way of solicitation of, or the. Presence and consent to the jurisdiction).  carrying on business is to perform activities for a business organization such as a partnership or corporation with the purpose of making a.  definition of carrying on business continuous. Carry On Business Legal Definition.
     
    
         
        From englishstudyhere.com 
                    Phrasal Verbs with CARRY English Study Here Carry On Business Legal Definition   carry on business definition & legal meaning.  carrying on a business means to engage in any insurance related business including, without limitation, by way of solicitation of, or the. Pursuing a particular occupation on a continuous and substantial basis. To prosecute or pursue a particular avocation or form of.  carrying on business refers to the regular and. Carry On Business Legal Definition.
     
    
         
        From englishstudyonline.org 
                    8 Phrasal Verbs with CARRY in English English Study Online Carry On Business Legal Definition   definition of carrying on business continuous and routine engagement in an activity aimed at earning a profit, irrespective of having a. There need not be a physical or visible business entity.  carrying on a business means to engage in any insurance related business including, without limitation, by way of solicitation of, or the.  carrying on business is. Carry On Business Legal Definition.
     
    
         
        From expertworldtravel.com 
                    Best Carry On Luggage For Business Travel ⋆ Expert World Travel Carry On Business Legal Definition   carrying on business refers to the regular and systematic activities undertaken by an individual or organization with the intention.  carrying on a business means to engage in any insurance related business including, without limitation, by way of solicitation of, or the.   at common law, “carrying on business” is part of the traditional bases of establishing jurisdiction (i.e.. Carry On Business Legal Definition.
     
    
         
        From en.ketajaman.com 
                    Top 15 what is a carry on 2023 Carry On Business Legal Definition   definition of carrying on business continuous and routine engagement in an activity aimed at earning a profit, irrespective of having a. Pursuing a particular occupation on a continuous and substantial basis.  carrying on a business means to engage in any insurance related business including, without limitation, by way of solicitation of, or the. There need not be a. Carry On Business Legal Definition.
     
    
         
        From icaagencyalliance.com 
                    Are You Legally Required to Carry Business Insurance? ICA Agency Carry On Business Legal Definition    at common law, “carrying on business” is part of the traditional bases of establishing jurisdiction (i.e. Presence and consent to the jurisdiction).  definition of carrying on business continuous and routine engagement in an activity aimed at earning a profit, irrespective of having a.  carrying on a business means to engage in any insurance related business including, without. Carry On Business Legal Definition.
     
    
         
        From www.uslegalforms.com 
                    Composition with Creditors Debtor to Carry on Business under Carry On Business Legal Definition   carry on business definition & legal meaning.  definition of carrying on business continuous and routine engagement in an activity aimed at earning a profit, irrespective of having a.  carrying on a business means to engage in any insurance related business including, without limitation, by way of solicitation of, or the. There need not be a physical or. Carry On Business Legal Definition.
     
    
         
        From www.concealedcarry.com 
                    Constitutional Carry and Permitless Carry In Depth Overview Concealed Carry On Business Legal Definition   carry on business definition & legal meaning.  definition of carrying on business continuous and routine engagement in an activity aimed at earning a profit, irrespective of having a. Pursuing a particular occupation on a continuous and substantial basis. To prosecute or pursue a particular avocation or form of.  carrying on business refers to the regular and systematic. Carry On Business Legal Definition.
     
    
         
        From englishstudyhere.com 
                    Phrasal Verbs with CARRY in English English Study Here Carry On Business Legal Definition  Pursuing a particular occupation on a continuous and substantial basis. Presence and consent to the jurisdiction). There need not be a physical or visible business entity.   at common law, “carrying on business” is part of the traditional bases of establishing jurisdiction (i.e.  definition of carrying on business continuous and routine engagement in an activity aimed at earning a. Carry On Business Legal Definition.
     
    
         
        From www.youtube.com 
                    Carry on Meaning YouTube Carry On Business Legal Definition   carrying on business refers to the regular and systematic activities undertaken by an individual or organization with the intention.  carry on business definition & legal meaning.   at common law, “carrying on business” is part of the traditional bases of establishing jurisdiction (i.e. Presence and consent to the jurisdiction). Pursuing a particular occupation on a continuous and substantial. Carry On Business Legal Definition.
     
    
         
        From exovnkkfx.blob.core.windows.net 
                    Carry On With Definition at Alex Bulloch blog Carry On Business Legal Definition   carry on business definition & legal meaning.  carrying on business refers to the regular and systematic activities undertaken by an individual or organization with the intention.  definition of carrying on business continuous and routine engagement in an activity aimed at earning a profit, irrespective of having a. Pursuing a particular occupation on a continuous and substantial basis.. Carry On Business Legal Definition.
     
    
         
        From www.investopedia.com 
                    Carrying Value Definition, Formulas, and Example Carry On Business Legal Definition    at common law, “carrying on business” is part of the traditional bases of establishing jurisdiction (i.e. Presence and consent to the jurisdiction).  carrying on a business means to engage in any insurance related business including, without limitation, by way of solicitation of, or the. To prosecute or pursue a particular avocation or form of.  definition of carrying. Carry On Business Legal Definition.
     
    
         
        From essay-editor.net 
                    How to Carry On Business Correspondence Carry On Business Legal Definition   carrying on business refers to the regular and systematic activities undertaken by an individual or organization with the intention. There need not be a physical or visible business entity.  carrying on a business means to engage in any insurance related business including, without limitation, by way of solicitation of, or the. Presence and consent to the jurisdiction). . Carry On Business Legal Definition.